44 communication lesson plans for middle school

Free Health Lesson Plans - Project School Wellness A middle school health teacher turned curriculum developer (and #WAHM). I'm on a mission to share the easiest-to-teach, most impactful health lesson plans on the Internet. Because your time and energy is better spent on teaching and connecting, not on planning and prep. › blog › top-7-best-empathyTop 7 Best Empathy Lesson Plans for Middle School - AES Education Jan 10, 2019 · At the end of the day, there is no single "best" resource for teaching empathy to middle school students. It all depends on the needs of you, your course, and your students! Each item listed in this post can be a great supplement to your curriculum. However, empathy is just one aspect of communication your middle school students should learn.

educircles.org › critical-thinking-lesson-plansCritical Thinking Lesson Plans (PDF) for Middle School and ... Apr 28, 2022 · Critical Thinking Middle School – English Language Arts / Homeroom / Advisory. These critical thinking activities for middle school work well if you teach in a 7th or 8th grade English Language Arts class. (Also, 6th grade if you teach at a grade 6-8 middle school or junior high school.) Middle school is a great age!

Communication lesson plans for middle school

Communication lesson plans for middle school

study.com › academy › lessonOral Communication Lesson Plan | Study.com This lesson plan uses a warm-up activity, discussion, quiz, main activity, and extension to help your students understand the basic components of proper oral communication. study.com › academy › lessonWhat are the Different Levels of Communication? - Video ... May 05, 2022 · Middle School Courses; High School Courses; ... Classical theory of communication - traditional school of thought which separates communication into four distinct levels: ... Lesson Plans. I would ... orise.orau.gov › resources › k12Free STEM Lesson Plans for K-12 Teachers - ORISE This lesson plan has two following lesson plans: Lesson 2: All Turned Around - Rotations (.pdf, 4.7mb) Lesson 3: Introduction to Transformations (.pdf, 4.9mb) Insect Investigation (.pdf, 2.2 MB) K-1st: Science. In this lesson, students will become entomologists by using the great outdoors to go on a bug hunt.

Communication lesson plans for middle school. educircles.org › school-citizenship-lesson-plansGood Citizenship Lesson Plans, Activities for High School ... May 07, 2022 · Citizenship Activities for Middle School / High School – May 7, 2022 Update: 8 Classroom Citizenship Lesson Plans to help your students become better citizens at home, school, and in the community. Being a good citizen at home and school is more than just helping out with chores or helping your classmates. educircles.org › 21st-century-learning-6csCommunication Lesson Plans / Activities: Elementary, Middle ... Apr 17, 2022 · Communication lesson plans give teachers effective communication process strategies to teach elementary, middle school, and high school students. We need to provide our children and students with 21st-century competencies / transferable learning skills to enable them to cope with challenges in their personal and professional relationships. orise.orau.gov › resources › k12Free STEM Lesson Plans for K-12 Teachers - ORISE This lesson plan has two following lesson plans: Lesson 2: All Turned Around - Rotations (.pdf, 4.7mb) Lesson 3: Introduction to Transformations (.pdf, 4.9mb) Insect Investigation (.pdf, 2.2 MB) K-1st: Science. In this lesson, students will become entomologists by using the great outdoors to go on a bug hunt. study.com › academy › lessonWhat are the Different Levels of Communication? - Video ... May 05, 2022 · Middle School Courses; High School Courses; ... Classical theory of communication - traditional school of thought which separates communication into four distinct levels: ... Lesson Plans. I would ...

study.com › academy › lessonOral Communication Lesson Plan | Study.com This lesson plan uses a warm-up activity, discussion, quiz, main activity, and extension to help your students understand the basic components of proper oral communication.

Pre-Visit Lesson Plan and Handouts - Marvelous Mandalas

Pre-Visit Lesson Plan and Handouts - Marvelous Mandalas

Social Skills Lesson Plan: July - Badger State Speechy

Social Skills Lesson Plan: July - Badger State Speechy

Communication Lesson Plans / Activities: Elementary, Middle ...

Communication Lesson Plans / Activities: Elementary, Middle ...

Daily Lesson Log - Oral Communication 4P's Format | PDF ...

Daily Lesson Log - Oral Communication 4P's Format | PDF ...

CPI Lesson Plan Template Target Students: middle school ...

CPI Lesson Plan Template Target Students: middle school ...

Arts education teacher handbook : theatre arts. - State ...

Arts education teacher handbook : theatre arts. - State ...

Teaching Communication Skills to Middle Schoolers

Teaching Communication Skills to Middle Schoolers

Lesson Plan Template and Reflection | PDF | Lesson Plan ...

Lesson Plan Template and Reflection | PDF | Lesson Plan ...

Social Language: Middle & High School | Social skills lessons ...

Social Language: Middle & High School | Social skills lessons ...

Communication Skills Curriculum High School Manners To Go™

Communication Skills Curriculum High School Manners To Go™

Describe and Draw Lesson Plan and Pictures - English ESL ...

Describe and Draw Lesson Plan and Pictures - English ESL ...

Communication Lesson Plans / Activities: Elementary, Middle ...

Communication Lesson Plans / Activities: Elementary, Middle ...

Unique Middle-High School Bass Manual by Carolyn Bass - Issuu

Unique Middle-High School Bass Manual by Carolyn Bass - Issuu

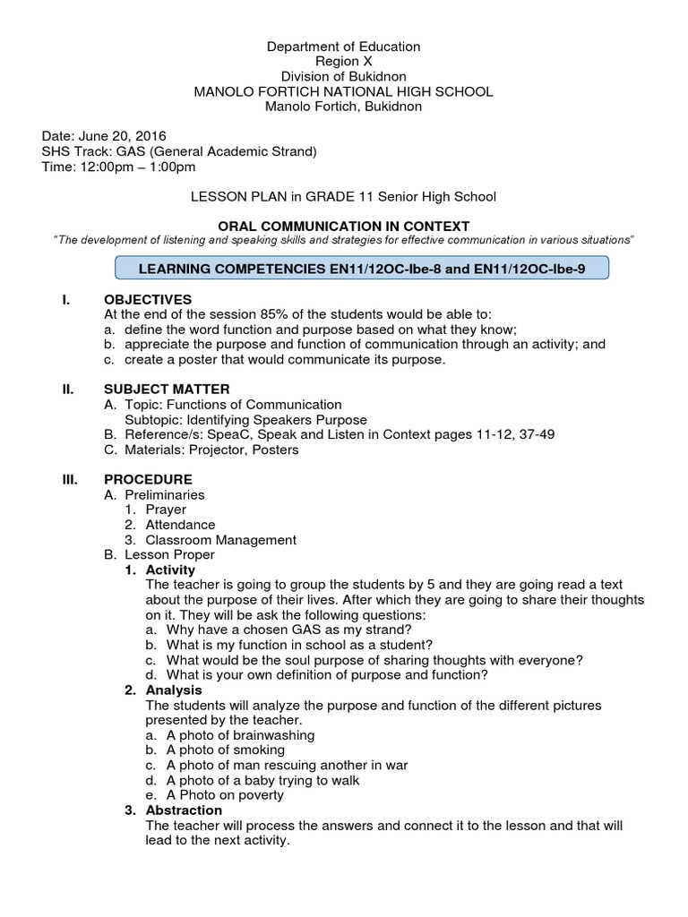
Lesson Plan in Oral Communication new 2 - Lesson Plan in Oral ...

Lesson Plan in Oral Communication new 2 - Lesson Plan in Oral ...

20+ Teacher Resume Examples (2022) | ZipJob

20+ Teacher Resume Examples (2022) | ZipJob

High School Social Studies Teacher Resume Samples | QwikResume

High School Social Studies Teacher Resume Samples | QwikResume

Communication Lesson Plans & Worksheets | Lesson Planet

Communication Lesson Plans & Worksheets | Lesson Planet

Management and Interpersonal Skills Lesson Plan

Management and Interpersonal Skills Lesson Plan

Lesson Plan

Lesson Plan

8-05 Communication Skills, Lesson Plan Download - One Less Thing

8-05 Communication Skills, Lesson Plan Download - One Less Thing

Lesson 13: Communication - Day 6: Decision-Making Lesson Plan ...

Lesson 13: Communication - Day 6: Decision-Making Lesson Plan ...

1st Bac - Lesson plan-Communication-expressing opinions and ...

1st Bac - Lesson plan-Communication-expressing opinions and ...

Communication Lesson Plan for Small Groups, Teens, High School, Junior High

Communication Lesson Plan for Small Groups, Teens, High School, Junior High

Lesson Plan - ORAL Communication - The Nature of ...

Lesson Plan - ORAL Communication - The Nature of ...

INTRO TO BUSINESS LESSON PLAN

INTRO TO BUSINESS LESSON PLAN

Helpful Communication Lesson by Carol Miller - Counseling ...

Helpful Communication Lesson by Carol Miller - Counseling ...

Communication Skills Lessons Teaching Resources | TPT

Communication Skills Lessons Teaching Resources | TPT

Online Communication Activities for Middle School During Distance Learning

Online Communication Activities for Middle School During Distance Learning

27+ Easy-to-Edit Lesson Plan Examples [+ Writing Tips]

27+ Easy-to-Edit Lesson Plan Examples [+ Writing Tips]

3 Best Communication Lesson Plans for Middle School

3 Best Communication Lesson Plans for Middle School

23 Great Lesson Plans for Internet Safety | Common Sense ...

23 Great Lesson Plans for Internet Safety | Common Sense ...

Do2Learn: Educational Resources for Special Needs

Do2Learn: Educational Resources for Special Needs

Communication Skills Curriculum Middle School Manners To Go™

Communication Skills Curriculum Middle School Manners To Go™

Common Core Lesson Plans

Common Core Lesson Plans

Teaching Communication Skills to Middle Schoolers

Teaching Communication Skills to Middle Schoolers

Communication Skills the 4 C’s Way: Teacher’s Manual: Middle School  Stories, Role-Plays, & Lesson Plans (Anti-Bullying the 4 C’s Way)

Communication Skills the 4 C’s Way: Teacher’s Manual: Middle School Stories, Role-Plays, & Lesson Plans (Anti-Bullying the 4 C’s Way)

Communication Skills the 4 C's Way: Teacher's Manual: Middle School  Stories, Role-Plays, & Lesson Plans (Anti-Bullying the 4 C's Way)

Communication Skills the 4 C's Way: Teacher's Manual: Middle School Stories, Role-Plays, & Lesson Plans (Anti-Bullying the 4 C's Way)

Middle School Teacher Resume Example & Guide (2021) | ZipJob

Middle School Teacher Resume Example & Guide (2021) | ZipJob

A-detailed-lesson-plan-in-english-for-grade-11-oral ...

A-detailed-lesson-plan-in-english-for-grade-11-oral ...

Body Language Lesson Plan for 4th - 12th Grade | Lesson Planet

Body Language Lesson Plan for 4th - 12th Grade | Lesson Planet

27+ Easy-to-Edit Lesson Plan Examples [+ Writing Tips]

27+ Easy-to-Edit Lesson Plan Examples [+ Writing Tips]

Communication Skills Curriculum High School

Communication Skills Curriculum High School

How to Make a Lesson Plan (with Sample Lesson Plans) - wikiHow

How to Make a Lesson Plan (with Sample Lesson Plans) - wikiHow

Pray for All People (1 Timothy 2) Printable Bible Lesson ...

Pray for All People (1 Timothy 2) Printable Bible Lesson ...

0 Response to "44 communication lesson plans for middle school"

Post a Comment

Iklan Atas Artikel

Iklan Tengah Artikel 1

Iklan Tengah Artikel 2

Iklan Bawah Artikel